Passing Grade Sma Negeri Jakarta - SMA Kristen 1 Penabur Jakarta jumlah rata-rata NEM. SMA NEGERI 4 IPA.
Pendidikan Duddyarisandi S Blog
SMA 61 passing grade 3520 7.

Passing grade sma negeri jakarta. SMA Negeri 81 dengan nilai rerata UN 8514 3. Bantu jawab ya pakbu. 15 th 9 bl 4 hr IPS.
Sma negeri 19. Passing Grade SMP Negeri di Jakarta. Ini Grade 50 SMA Negeri Unggulan Jakarta.
Daftar Lengkap 50 besar peringkat passing grade SMA Negeri di Provinsi DKI Jakarta Tahun 2017 - 2018 1. 15 th 8 bl 20 hr IPS. SMA Negeri 70 Jakarta adalah sekolah menengah atas negeri di Jakarta.
Orang Tua Murid Asik Berburu SMA Unggulan. Sementara berdasarkan nilai UN tahun 20132014 inilah SMA dengan nilai tertinggi tahun lalu kategori IPA. SMA 68 passing grade 3555 5.
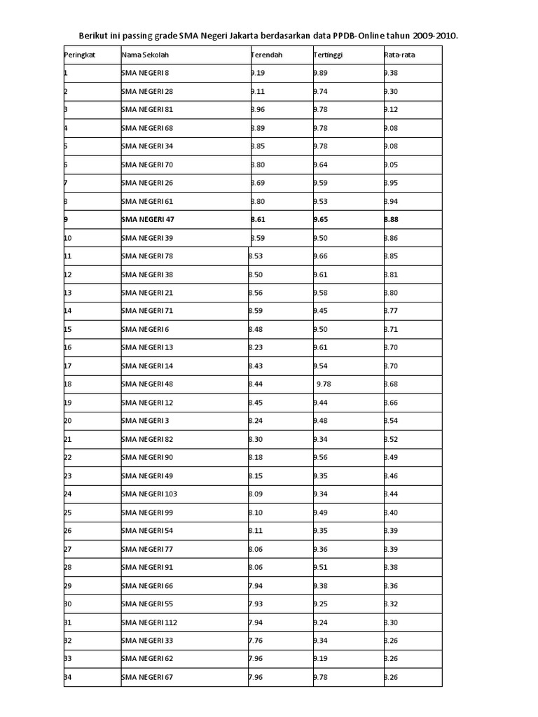
Namun setidaknya kalian dapat memperkirakan Nilai terendah atau tertinggi dari SMA yang akan kalian Pilih sebagai acuannya adalah hasil seleksi tahun kemarin yang kita namakan dengan Passing Grade. SMAN 81 NUN 5224 3. 360 แถว Okeeh inilah hasil seleksi PPDB SMA Negeri DKI Jakarta passing grade.
15 th 11 bl 23 hr. SMA 61 passing grade 3520. SMA 34 passing grade 3540 6.
SMA Negeri 48 dengan nilai rerata UN 8100 5. SMA Negeri 39 dengan nilai rerata UN 8038. SMA 81 passing grade 3585 4.
JAKARTA CITRAINDONESIACOM- Mungkin para orang tua murid belum tahu sekolah- sekolah SMP Negeri yang unggulan atau terbaik di DKI Jakarta. Dari pantauan penulis di website PPDB DKI tahun ini passing grade untuk masuk SMA Negeri di Jakarta melalui jalur umum sangat tinggi. Passing Grade SMK se-Jakarta.
16 th 5 hr. 15 th 8 bl 29 hr. Monday 14 Dec 2020.
SMPN 85 Terendah 2445 Tertinggi 2735. Daftar Passing grade Hasil PPDB SMK Negeri di Jakarta Selatan tahun 2019 Sekolah Dalam DKI Non DKI Thp 1 Thp 2 Thp 3 Afirmasi SMK NEGERI 6 Multimedia 7075. Diketahui pada 17-19 Juni 2019 Dinas Pendidikan DKI Jakarta sudah membuka Proses Penerimaan Peserta Didik Baru atau PPDB tahun akademik 20192020 mulai dari SD SMP sampai SMASMK.
Di SMA unggulan seperti SMA 8 Bukit Duri Jaksel siswa yang diterima minimal memiliki NEM 3835 sedangkan NEM tertingginya 394 untuk kelompok IPA MIA sedangkan untuk kelompok IPS IIS minimal 381 dan tertinggi 385. Untuk Seleksi PPDB SMAN DKI Jakarta tahun 20192020 terbagi menjadi 8 Jalur yaitu. Daftar SMA Negeri Terbaik di Jakarta Utara.
SMA 28 passing grade 3645. Kalau di jakarta timut nem segitu bisa masuk mana yasoalnya saya sebenarnya tinggal di jakarta utaratapi kartu keluarga di jakarta timur. SMPN 96 Terendah 2265 Tertinggi2630.
SMA NEGERI 3 IPA. Daftar 100 Sekolah Jakarta Barat Terakreditasi A dari SMP SMASMK 50. SMAN 34 NUN 5138 8.
Berikut ini adalah Passing Grade SMP Negeri DKI Jakarta Tahun 20082009 sebagai pedoman kamu untuk mendaftar di SMP nanti. SMA Negeri Unggulan Mohammad Husni Thamrin Provinsi DKI Jakarta jumlah rata-rata NEM. SMA 68 passing grade 3555.
Inilah Passing Grade SMAN Tahun 2015 di Jakarta Utara. Untuk melihat 50 besar peringkat passing grade SMA Negeri lainnya di Provinsi DKI Jakarta kamu bisa langsung melihatnya di sini. 15 th 10 bl IPS.
Sma negeri 84. SMAN 8 NUN 5279 2. SMAN 68 NUN 5019 9.
321 แถว Daftar Lengkap Passing Grade Sekolah SMK di Jakarta SEKOLAH TAHAP 1. Inilah Passing Grade SMAN Tahun 2015 di Jakarta Pusat. SMAN 39 NUN 5176 5.
SMA 34 passing grade 3540. SMA 8 passing grade 3675. SMAN 48 NUN 5147 7.
SMAN 61 NUN 5198 4. Terletak di Jalan Bulungan Blok C Nomor 1 Kebayoran Baru Jakarta Selatan DKI Jakarta. SMA Santa Ursula BSD Provinsi Banten jumlah rata-rata NEM.
SMA NEGERI 2 IPA. 15 th 7 bl 29 hr IPS. Assalamualaikum mau nanya nem 2535 bisa masuk SMA 76 di jakarta timur gksoalnya passing grade lokal ipanya terendah 6088 kalau ipsnya 6138.
Para pelajar tengah sumringah melihat prestasi mereka di papan pengumuman. SMA 28 passing grade 3645 3. SMPN 37 Terendah 2040 Tertinggi 2690.
Kumpulan Berita PASSING GRADE SMA JAKARTA 2019. 15 th 11 bl 18 hr. SMAN 28 NUN 5166 6.
SMA NEGERI 1 IPA. Sma negeri 56. SMA 81 passing grade 3585.
Saat ini SMA Negeri 70 Jakarta telah berganti status dari RSBI Rintisan Sekolah Bertaraf Internasional menjadi Sekolah Mandiri SSN Sekolah Standar Nasional. Kalau kamu mau tahu lebih lengkap click disini yach Passing Grade. SMA Negeri 61 dengan nilai rerata UN 8336 4.
SMA 8 passing grade 3675 2.
Di Sman 8 Passing Grade Jurusan Ipa Terendah 36 9 Dan Ips Terendah 36 6 Halaman All Warta Kota
Passing Grade Sma Jakarta 2019 Masnurul
Sekolah Favorit Di Jakarta Kronis M
Passing Grade Sma Jakarta 2019 Masnurul
Smpn 7 Jakarta Passing Grade Sman
Smpn 109 Jakarta Smpn109jakarta Blogspot Com Smpn109 Jakarta
Passing Grade Smk Negeri Se Dki
Passing Grade Hasil Ppdb Sma Dki Jakarta Tahun 2020 2021 K Blog
Passing Grade Sma Jakarta 2019 Masnurul
Passing Grade Hasil Seleksi Ppdb Sma Negeri Jakarta Tahun 2017 K Blog
Inilah Daftar Sma Dengan Passing Grade Tertinggi Di Jakarta Warta Kota
Passing Grade Smk Negeri Se Dki
Daftar Sma Dan Smk Dki Jakarta
Ppdb Online Farhansyaddad Weblog Laman 2







